MỞ ĐẦU
- Sự cần thiết của đề tài
Nước thải bệnh viện là một trong những mối quan tâm, lo ngại sâu sắc đối với các nhà quản lý môi trường và xã hội vì chúng có thể gây ô nhiễm môi trường nghiêm trọng và nguy hiểm đến đời sống con người. Vì vậy việc nghiên cứu, tìm ra giải pháp công nghệ thích hợp để xử lý hiệu quả nước thải bệnh viện đảm bảo các tiêu chuẩn cho phép khi thải ra môi trường đã được các nhà làm môi trường trong và ngoài nước quan tâm.Do đó việc xử lý nước thải bệnh viện trước khi thải vào nguồn tiếp nhận là một yêu cầu thiết yếu. Hiện nay, các nước trên thế giới và nước ta đã ứng dụng nhiều giải pháp công nghệ khác nhau để xử lý hiệu quả và an toàn nước thải bệnh viện, trong đó thường sử dụng phổ biến là công nghệ sinh học.
- Mục tiêu của đề tài
Thiết kế hệ thống xử lý nước thải bệnh viện đạt tiêu chuẩn Việt Nam loại A để thải vào nguồn tiếp nhận với công suất 500m3/ngđ.
- Nội dung của đề tài
- Đánh giá về thành phần, tính chất nước thải bệnh viện.
- Nêu các phương pháp xử lý nước thải bệnh viện.
- Đề xuất phương án tối ưu, tính toán chi tiết các công trình đơn vị trong hệ thống xử lý đó.
- Phương pháp thực hiện
- Thu thập số liệu, tra cứu tài liệu.
- Tìm hiểu thực tế hệ thống xử lý nước thải ở một số bệnh viện.
- Tính toán, thiết kế hệ thống xử lý nước thải đạt tiêu chuẩn đã đề ra.
- Giới hạn của đề tài
Thiết kế hệ thống xử lý nước thải bệnh viện với công suất 500m3/ngđ.
- Ý nghĩa kinh tế – xã hội
Về mặt kinh tế
- Góp phần hoàn chỉnh cở sở hạ tầng cho những bệnh viện chưa có hệ thống xử lý nước thải đạt chuẩn.
- Giảm thiểu sự ô nhiễm môi trường đồng nghĩa với việc bảo vệ nguồn tài nguyên thiên nhiên.
- Tạo việc làm cho người dân khi triển khai dự án .
Về xã hội
- Giảm thiểu sự tác động đên môi trường, sức khỏe cộng đồng, góp phần nâng cao chất lượng cuộc sống của người dân ở khu vực.
- Việc xây dựng hệ thống còn là chủ trương đúng đắn theo định hướng phát triển của Đảng và Nhà nước.
DANH MỤC CÁC TỪ VIẾT TẮT
NTBV: Nước thải bệnh viện
CTC: Trung tâm Tư vấn- Chuyển giao công nghệ nước sạch và môi trường.
BOD (Biological Oxygen Demand): Nhu cầu oxy sinh học.
COD (Chemical Oxygen Demand): Nhu cầu oxy hoá học.
SS (Suspended Solids): Chất rắn lơ lửng.
BORDA: Hiệp hội Nghiên cứu và Phát triển Bremen-Tổ chức phi chính phủ của Đức
DEWATS (Decentralized Wastewater Treatment Systems): Hệ thống xử lý nước thải phân tán
BR: Bể phản ứng kị khí.
AF:Bể lắng kị khí .
AOP:Advanced Oxydation Processes
TCVN: Tiêu chuẩn Việt Nam
Chương 1
TỔNG QUAN VỀ NƯỚC THẢI BỆNH VIỆN
- Nguồn gốc nước thải bệnh viện
Từ nhiều nguồn:
- Sinh hoạt của bệnh nhân, người nuôi bệnh nhân, cán bộ và công nhân viên của bệnh viện;
- Pha chế thuốc;
- Tẩy khuẩn;
- Lau chùi phòng làm việc;
- Phòng bệnh nhân…
- Thành phần, tính chất nước thải bệnh viện
Các thành phần chính gây ô nhiễm môi trường do nước thải bệnh viện gây ra là:
- Các chất hữu cơ;
- Các chất dinh dưỡng của ni-tơ (N), phốt-pho (P);
- Các chất rắn lơ lửng;
- Các vi trùng, vi khuẩn gây bệnh: Salmonella, tụ cầu, liên cầu, virus đường tiêu hóa, bại liệt, các loại kí sinh trùng, amip, nấm…
- Các mầm bệnh sinh học khác trong máu, mủ, dịch, đờm, phân của người bệnh;
- Các loại hóa chất độc hại từ cơ thể và chế phẩm điều trị, thậm chí cả chất phóng xạ.
Theo kết quả phân tích của các cơ quan chức năng, 80% nước thải từ bệnh viện là nước thải bình thường (tương tự nước thải sinh hoạt) chỉ có 20% là những chất thải nguy hại bao gồm chất thải nhiễm khuẩn từ các bệnh nhân, các sản phẩm của máu, các mẫu chẩn đoán bị hủy, hóa chất phát sinh từ trong quá trình giải phẫu, lọc máu, hút máu, bảo quản các mẫu xét nghiệm, khử khuẩn. Với 20% chất thải nguy hại này cũng đủ để các vi trùng gây bệnh lây lan ra môi trường xung quanh. Đặc biệt, nếu các loại thuốc điều trị bệnh ung thư hoặc các sản phẩm chuyển hóa của chúng… không được xử lý đúng mà đã xả thải ra bên ngoài sẽ có khả năng gây quái thai, ung thư cho những người tiếp xúc với chúng.
Bảng 1: Thành phần và tính chất nước thải bệnh viện
| STT | Thông số ô nhiễm | Đơn vị | Kết quả | TCVN 6772-2000
Mức I |
| 1 | pH | mg/l | 6.0 – 8.0 | 5-9 |
| 2 | BOD5 | mgO2/l | 493 | 30 |
| 3 | COD | mgO2/l | 420 | – |
| 4 | TSS | mg/l | 263 | 50 |
| 5 | Tổng Nitơ Kjeldahl(NK) | mg/l | 65 | – |
| 6 | Tổng Photpho P | mg/l | 12 | – |
| 7 | NO3- | mg/l | 0,18 | 30 |
| 8 | Tổng Coliforms | KL/100ml | 4,9 ✕ 106 | 1000 |
( Theo nguồn nước thải của Trung tâm phục hồi chức năng.)
Chương 2
MỘT SỐ CÔNG NGHỆ XỬ LÝ
NƯỚC THẢI BỆNH VIỆN ĐÃ ĐƯỢC ÁP DỤNG
3.1 Ao hồ sinh học (ao hồ ổn định nước thải-Waste Water Stabilization ponds and lagoons)
Cơ sở khoa học của phương pháp này là dựa vào khả năng tự làm sạch của nước, chủ yếu là vi sinh vật và các thủy sinh khác, các chất nhiễm bẩn bị phân hủy thành các chất khí và nước.Căn cứ theo đặc tính toàn tại và tuần hoàn của các vi sinh và sau đó là cơ chế xử lý mà người ta phân biệt 3 loại hồ: Hồ kỵ khí, hồ hiếu-kỵ khí và hồ hiếu khí.
3.1.1 Hồ kỵ khí
Dùng để lắng và phân hủy cặn lắng bằng phương pháp sinh hóa tự nhiên dựa trên cơ sở sống và hoạt động của vi sinh kỵ khí.
Loại hồ này thường dùng để xử lý nước thải công nghiệp có độ nhiễm bẩn lớn, ít dùng để xử lý nước thải sinh hoạt vì nó gây mùi khó chịu. Hồ kỵ khí phải đặt cách xa nhà ở và xí nghiệp thực phẩm 1,5-2km.
Để duy trì điều kiện kỵ khí và giữ ấm cho hồ trong mùa đông thì chiều sâu hồ phải lớn, thường là 2,4-3,6m.
Hồ có 2 ngăn làm việc để dự phòng khi xả bùn trong hồ.
Cửa xả nước vào hồ phải đặt chìm, đảm bảo việc phân bố cặn lắng đồng đều trong hồ.
Cửa tháo nước ra khỏi hồ thiết kế theo kiểu thu nước bề mặt và có tấm ngăn để bùn không thoát ra cùng với nước.
3.1.2 Hồ hiếu-kỵ khí (Facultativ)
Hồ facultativ là loại hồ thường gặp trong tự nhiên, nó đước sử dụng rộng rãi nhất trong các hồ sinh học.
Trong hồ này xảy ra 2 quá trình song song: quá trình oxy hóa hiếu khí chất nhiễm bẩn hữu cơ và quá trình phân hủy metan cặn lắng.
Đặc điểm của loại hồ này xét theo chiều sâu của nó có thể chia ra 3 vùng: lớp trên là vùng hiếu khí, lớp giữa là vùng trung gian, còn lớp dưới là vùng kỵ khí.
Nguồn oxy cần thiết cho quá trình oxy hóa các chất hữu cơ trong hồ chủ yếu nhờ quang hợp của rong tảo dưới tác dụng của bức xạ mặt trời và khuếch tán qua mặt nước dưới tác dụng của sóng gió, hàm lượng oxy hòa tan vào ban ngày nhiều hơn ban đêm. Do sự xâm nhập của oxy hòa tan chỉ có hiệu quả ở độ sâu 1m nên nguồn oxy hòa tan chủ yếu cũng chỉ ở lớp nước phía trên.
Quá trình phân huỷ kỵ khí lớp bùn ở đáy hồ phụ thuộc vào điều kiện nhiệt độ. Quá trình này làm giảm tải trọng hữu cơ trong hồ và sinh ra các sản phẩm lên men đưa vào trong nước.
Trong hồ thường hình thành tầng phân cách nhiệt: vùng nước phía trên nóng ấm hơn vùng nước phía. Ở giữa là tầng phân cách đôi khi cũng có lợi. Đó là trường hợp những ngày hè do sự quang hợp của tảo, tiêu thụ nhiều CO2 làm cho pH của nước hồ tăng lên, có khi tới 9,8 (vượt quá tiêu chuẩn tối ưu của vi khuẩn) khi đó tốt nhất là không nên xáo trộn hồ để cho các vi khuẩn ở đáy được che chở bởi tầng phân cách.
Nhìn chung tầng phân cách nhiệt là không có lợi, bởi vì trong giai đoạn phân tầng các loài tảo sẽ tập trung thành một lớp dày ở phía trên tầng phân cách. Tảo sẽ chết làm cho các vi khuẩn thiều oxy và hồ bị quá tải các chất hữu cơ. Trong trường hợp này sự xáo trộn là cần thiết để tảo phân tán tránh sự tích tụ.
Các yếu tố tự nhiên ảnh hưởng tới sự xáo trộn là gió và nhiệt độ:
Khi gió thổi sẽ gây sóng mặt nước gây nên sự xáo trộn. Hồ có diện tích bề mặt lớn thì sự xáo trộn bằng gió tốt hơn hồ có diện tích bề mặt bể.
Ban ngày nhiệt độ của lớp nước phía trên cao hơn nhiệt độ của lớp nước phía dưới. Do sự chênh lệch nhiệt độ mà tải trọng của nước cũng chênh lệch tạo nên sự đối lưu nước ở trong hồ theo chiều đứng.
Nếu gió xáo trộn theo hướng hai chiều (chiều ngang và chiều đứng) thì sự chênh lệch nhiệt độ tạo nên xáo trộn chỉ theo một chiều thẳng đứng. Kết hợp giữa sức gió và chênh lệch nhiệt độ tạo nên sự xáo trộn toàn phần.
Chiều sâu của hồ ảnh hưởng lớn đến sự xáo trộn, tới các quá trình oxy hóa và phân hủy trong hồ. Chiều sâu trong hồ thường lấy vào khoảng 0,9-1,5m.
Tỷ lệ chiều dài, chiều rộng hồ thường lấy bằng 1:1 hoặc 2:1. Ở những vùng có nhiều gió nên làm hồ có diện tích rộng, còn ở vùng ít gió nên àm hồ có nhiều ngăn.Nếu đất đáy hồ dễ thấm nước thì phải phủ lớp đất xét dày 15cm. Bờ hồ có đáy dốc, nên trồng cỏ trên bờ hồ.
3.1.3 Hồ hiếu khí
Hồ hiếu khí là hồ có quá trình oxy hóa các chất hữu cơ nhờ các vi sinh vật hiếu khí. Loại hồ này được phân thành 2 nhóm:
Hồ làm thoáng tự nhiên: oxy cung cấp cho quá trình oxy hóa chủ yếu do sự khuếch tán không khí qua mặt nước và quá trình quang hợp của các thực vật nước như rong tảo. Để đảm bảo cho ánh sáng có thể xuyên qua, chiều sâu của hồ phải bé khoảng 30-40cm. Sức chứa tiêu chuẩn lấy theo BOD khoảng 250-300 kg/ha.ngày. Thời gian nước lưu trong hồ khoảng 3-12 ngày.
Do độ sâu bé, thời gian lưu nước dài nên diện tích hồ lớn. Vì thế nó chỉ hợp ly về kinh tế khi kết hợp việc xử lý nước thải với việc nuôi trồng thủy sản cho mực đích chăn nuôi và công nghiệp.
Hồ hiếu khí làm thoáng bằng nhân tạo: nguồn oxy cung cấp cho quá trình sinh hóa là bằng các thiết bị như bơm khí nén hoặc máy khuấy cơ học. Vì được tiếp khí nhân tạo nên chiều sâu của hồ có thể từ 2-4,5m. Sức chứa tiêu chuẩn khoảng 400 kg/ha.ngày. Thời gian nước lưu trong hồ khoảng 1-3 ngày.
Hồ hiếu khí làm thoáng nhân tạo, do chiều sâu hồ lớn, việc làm thoáng cũng khó đảm bảo toàn phần nên chúng làm việc như hồ hiếu-kỵ khí.
3.2 Bể phản ứng sinh học hiếu khí – Aeroten
Bể phản ứng sinh học hiếu khí – Aeroten là công trình bê tông cốt thép hình khối chữ nhật hoặc hình tròn, cũng có trừơng hợp người ta chế tạo các Aerotan bằng sắt thép hình khối trụ. Thông dụng nhất hiện nay là các Aeroten hình bể khối chữ nhật. Nước thải chảy qua suốt chiều dài của bể và được sục khí, khuấy nhằm tăng cường lượng khí oxi hòa tan và tăng cường quá trình oxi hóa chất bẩn hữu cơ có trong nước.
Nước thải sau khi đã được xử lý sơ bộ còn chứa phần lớn các chất hữu cơ ở dạng hòa tan cùng các chất lơ lửng đi vào Aeroten. Các chất lơ lửng này là một số chất rắn và có thể là các chất hữu cơ chưa phải là dạng hòa tan. Các chất lơ lửng làm nơi vi khuẩn bám vào để cư trú, sinh sản và phát triển, dần thành các hạt cặn bông. Các hạt này dần dần to và lơ lửng trong nước. Chính vì vậy xử lý nước thải ở Aeroten được gọi là quá trình xử lý với sinh vật lơ lửng của quần thể vi sinh vật. Các bông cặn này cũng chính là bùn hoạt tính.
Bùn hoạt tính là loại bùn xốp chứa nhiều vi sinh vật có khả năng oxi hóa và khoáng hóa các chất hữu cơ chứa trong nước thải.
Để giữ cho bùn hoạt tính ở trạng thái lơ lửng và để đảm bảo oxi dung cho quá trình oxi hóa các chất hữu cơ thì phải luôn luôn đảm bảo việc thoáng gió. Số lượng bùn tuần hoàn và số lượng không khí cần cấp lấy phụ thuộc vào độ ẩm vào mức độ yêu cầu xử lý nước thải.Thời gian nước lưu trong bể aeroten không lâu quá 12 giờ (thường là 4 -8 giờ).
Nước thải với bùn hoạt tính tuần hoàn sau khi qua bể aeroten cho qua bể lắng đợt 2. Ở đây bùn lắng một phần đưa trở lại Aeroten, phần khác đưa tới bể nén bùn.
Do kết quả của việc sinh sôi nảy nở các vi sinh vật cũng như việc tách các chất bẩn ra khỏi nước thải mà số lượng bùn hoạt tính ngày một gia tăng. Số lượng bùn thừa chẳng những không giúp ích cho việc xử lý nước thải, ngược lại, nếu không lấy đi thì còn là một trở ngại lớn. Độ ẩm của bùn hoạt tính khoảng 98-99%, trước khi đưa lên bể metan cần làm giảm thể tích.
Quá trình oxi hóa các chất bẩn hữu cơ xảy ra trong aeroten qua ba giai đoạn:
- Giai đoạn thứ nhất: tốc độ oxi hóa bằng tốc độ tiêu thụ oxi. Ở giai đoạn này bùn hoạt tính hình thành và phát triển. Hàm lượng oxi cần cho vi sinh vật sinh trưởng, đặc biệt ở thời gian đầu tiên thức ăn dinh dưỡng trong nước thải rất phong phú, lượng sinh khối trong thời gian này rất. Sau khi vi sinh vật thích nghi với môi trường, chúng sinh trưởng rất mạnh theo cấp số nhân. Vì vậy, lượng tiêu thụ oxi tăng cao dần.
- Gian đoạn hai: vi sinh vật phát triển ổn định và tốc độ tiêu thụ oxi cũng ở mức gần như ít thay đổi. Chính ở giai đoạn này các chất bẩn hữu cơ bị phân hủy nhiều nhất.
Hoạt lực enzym của bùn hoạt tính trong giai đoạn này cũng đạt tới mức cực đại và kéo dài trong một tời gian tiếp theo. Điểm cực đại của enzym oxi hóa của bùn hoạt tính thường đạt ở thời điểm sau khi lượng bùn hoạt tính (sinh khối vi sinh vật) tới mức ổn định.
Qua các thông số hoạt động của aeroten cho thấy ở gian đoạn thứ nhất tốc độ tiêu thụ oxi (hay tốc độ oxi hóa) rất cao, có khi gấp 3 lần ở giai đoạn thứ hai.
- Giai đoạn thứ ba: sau một thời gian khá dài tốc độ oxi hóa cầm chừng (hầu như ít thay đổi) và có chiều hướng giảm, lại thấy tốc độ tiêu thụ oxi tăng lên. Đây là giai đoạn nitrat hóa các muối amon.
Sau cùng, nhu cầu oxi lại giảm và cần phải kết thúc quá trình làm việc của aeroten (làm việc theo mẻ). Ở đây cần lưu ý rằng, sau khi oxi hóa được 80-95% BOD trong nước thải, nếu không khuấy đảo hoặc thổi khí, bùn hoạt tính sẽ lắng xuống đáy, cần phải lấy bùn cặn ra khỏi nước. Nếu không kịp thời tách bùn, nước sẽ bị ô nhiễm thứ cấp, nghĩa là sinh khối vi sinh vật trong bùn (chiếm tới 70% khối lượng cặn bùn) sẽ bị tự phân. Tế bào vi khuẩn có hàm lượng protein rất cao (60-80% so với chất khô), ngoài ra còn có các hợp chất chứa chất béo, hidratcacbon, các chất khoáng…khi bị tự phân sẽ làm ô nhiễm nguồn nước.
3.3 Công nghệ lọc sinh học nhỏ giọt- Biofilter
Lọc nhỏ giọt là loại bể lọc sinh học với vật liệu tiếp xúc không ngập nước.
Biôphin nhỏ giọt dung để xử lý sinh hóa nước thải hoàn toàn với hàm lượng BOD của nước sau khi xử lý đạt 15 mg/l.
Bể biôphin xây dựng dưới dạng hình tròn hay hình chữ nhật có tường đặc và đáy kép. Đáy trên là tấm đan đỡ lớp vật liệu lọc, đáy dưới liền khối không thấm nước. Chiều cao giữa hai lớp đáy lấy khoảng 0,4-0,6 m, độ dốc hướng về máng thu I >= 0,01. Dộ dốc theo chiều dài của máng thu lấy theo kết cấu, nhưng không được nhỏ hơn 0,005. Tường bể làm cao hơn lớp vật liệu lọc 0,5 m.
Đặc điểm riêng của bể biophin nhỏ giọt là kích thước của vật liệu lọc không lớn hơn 25-30 mm và tải trọng tưới nước nhỏ 0,5-1,0 m3/(m3.VLL)


Các vật liệu lọc có độ rỗng và diện tích mặt tiếp xúc trong một đơn vị thể tích là lớn nhất trong điều kiện có thể. Nước đến lớp vật liệu lọc chia thành các dòng hoặc hạt nhỏ chảy thành lớp mỏng qua khe hở của vật liệu, đồng thời tiếp xúc với màng sinh học ở trên bề mặt vật liệu và được làm do vi sinh vật của màng phân hủy hiếu khí và kị khí các chất hữu cơ có trong nước. Các chất hữu cơ phân hủy hiếu khí sinh ra CO2 và nước, phân hủy kị khí sinh ra CH4 và CO2 làm tróc màng ra khỏi vật liệu mang, bị nước cuốn theo. Trên mặt giá mang là vật liệu lọc lại hình thành lớp màng mới. Hiện tượng này được lặp đi lặp lại nhiều lần. Kết quả là BOD của nước thải bị vi sinh vật sử dụng làm chất dinh dưỡng và bị phân hủy kị khí cũng như hiếu khí: nước thải được làm sạch.
Nước thải trước khi đưa vào xử lý ở lọc phun (nhỏ giọt) cần phải qua xử lý sơ bộ để tránh tắc nghẽn các khe trong vật liệu. Nước sau khi xử lý ở lọc sinh học thường nhiều chất lơ lửng do các mảnh vỡ của màng sinh học cuốn theo, vì vậy cần phải đưa vào lắng 2 và lưu ở đây thời gian thích hợp để lắng cặn. Trong trường hợp này, khác với nước ra ở bể aeroten: nước ra khỏi lọc sinh học thường ít bùn cặn hơn ra từ aeroten. Nồng độ bùn cặn ở đây thường nhỏ hơn 500 mg/l, không xảy ra hiện tượng lắng hạn chế. Tải trọng bề mặt của lắng 2 sau lọc phun vào khoảng 16-25 m3/m2.ngày.
3.4 Công nghệ xử lý nước thải bệnh viện theo nguyên lý hợp khối
Nguyên lý hoạt động
Nguyên lý hợp khối cho phép thực hiện kết hợp nhiều quá trình cơ bản xử lý nước thải đã biết trong không gian thiết bị của mỗi mô-đun để tăng hiệu quả và giảm chi phí vận hành xử lý nước thải. Thiết bị xử lý hợp khối cùng một lúc thực hiện đồng thời quá trình xử lý sinh học thiếu khí và hiếu khí. Việc kết hợp đa dạng này sẽ tạo mật độ màng vi sinh tối đa mà không gây tắc các lớp đệm, đồng thời thực hiện oxy hóa mạnh và triệt để các chất hữu cơ trong nước thải. Thiết bị hợp khối còn áp dụng phương pháp lắng có lớp bản mỏng (lamen) cho phép tăng bề mặt lắng và rút ngắn thời gian lưu.
Đi kèm với giải pháp công nghệ hợp khối này có các hóa chất phụ trợ gồm: chất keo tụ PACN-95 và chế phẩm vi sinh DW-97-H giúp nâng cao hiệu suất xử lý, tăng công suất thiết bị. Chế phẩm DW-97-H là tổ hợp của các vi sinh vật hữu hiệu (nấm sợi, nấm men, xạ khuẩn và vi khuẩn), các enzym thủy phân ngoại bào (amilaz, cellulaz, proteaz) các thành phần dinh dưỡng và một số hoạt chất sinh học; sẽ làm phân giải (thủy phân) các chất hữu cơ từ trong bể phốt của bệnh viện nhanh hơn ( tốc độ phân hủy tăng 7 – 9 lần và thủy phân nhanh các cao phân tử khó tan, khó tiêu thành các phân tử dễ tan, dễ tiêu), giảm được sự quá tải của bể phốt, giảm kích thước thiết bị, tiết kiệm chi phí chế tạo và chi phí vận hành, cũng như diện tích mặt bằng cho hệ thống xử lý. Chất keo tụ PACN-95 khi hòa tan vào trong nước sẽ tạo màng hạt keo, liên kết với cặn bẩn (bùn vô cơ hoặc bùn hoạt tính tại bể lắng) thành các bông cặn lớn và tự lắng với tốc độ lắng cặn nhanh; nhờ đó, giảm được kích thước thiết bị lắng (bể lắng) đáng kể mà vẫn đảm bảo tiêu chuẩn đầu ra của nước thải.
Ưu điểm của công nghệ
- Đảm bảo loại trừ các chất gây ô nhiễm xuống dưới tiêu chuẩn cho phép trước khi thải ra môi trường.
- Tiết kiệm chi phí đầu tư do giảm thiểu được phần đầu tư xây dựng.
- Dễ quản lý vận hành.
- Tiết kiệm diện tích đất xây dựng.
- Có thể kiểm soát các ô nhiễm thứ cấp như tiếng ồn và mùi hôi.
Nhược điểm của công nghệ
- Chi phí đầu tư ban đầu cao.
Với nguyên lý hoạt động nêu trên, Trung tâm CTC đã thiết kế 2 dòng thiết bị xử lý nước thải bệnh viện hợp khối điển hình, dễ dàng triển khai hàng loạt, thích hợp với nhiều địa hình:
- Công nghệ xử lý nước thải bệnh viện V-69
Công nghệ này được Trung tâm CTC thiết kế xây dựng từ năm 1997 tại Bệnh viện V-69 thuộc Bộ tư lệnh lăng Chủ tịch Hồ Chí Minh (Viện nghiên cứu và bảo quản thi thể Bác Hồ). Từ đó đến nay V-69 được phát triển và hoàn thiện nhiều lần. Chức năng của các thiết bị xử lý khối kiểu V-69 là xử lý sinh học hiếu khí, lắng bậc 2 kiểu lamen và khử trùng nước thải. Ưu điểm của thiết bị là tăng khả năng tiếp xúc của nước thải với vi sinh vật và oxy có trong nước nhờ lớp đệm vi sinh có độ rỗng cao, bề mặt riêng lớn; quá trình trao đổi chất và oxy hóa đạt hiệu quả rất cao.
- Công nghệ xử lý nước thải bệnh viện CN-2000
Trên nguyên lý của thiết bị xử lý nước thải V-69, thiết bị xử lý nước thải CN-2000 được thiết kế chế tạo theo dạng tháp sinh học với quá trình cấp khí và không cấp khí đan xen nhau để tăng khả năng khử nitơ. Thiết bị CN-2000 có công suất 120 – 150 m3/ngày đêm (trung bình 20 giờ), được ứng dụng để xử lý các nguồn nước thải có ô nhiễm hữu cơ và nitơ. Các thông số nước thải đầu vào: BOD5/COD ³ 0,5, BOD £ 350 mg/l, nồng độ các độc tố có hại cho các quá trình xử lý bằng vi sinh đạt mức cho phép.
3.5 Công nghệ xử lý nước thải bệnh viện theo mô hình DEWATS
Công nghệ DEWATS đã và đang được BORDA phổ biến và phát triển rộng rãi như là một giải pháp hữu hiệu cho xử lý nước thải phân tán từ các cụm dân cư, bệnh viện, khách sạn, trang trại, các lò giết mổ gia súc, gia cầm và cho các doanh nghiệp vừa và nhỏ tại các nước đang phát triển.
Nguyên lý hoạt động
DEWATS- hệ thống xử lý nước thải phân tán, là một giải pháp mới cho xử lý nước thải hữu cơ với qui mô dưới 1000m3/ngày đêm.Hệ thống DEWATS gồm có bốn bước xử lý cơ bản với các công trình đặc trưng:
– Xử lý sơ bộ bậc một: Quá trình lắng loại bỏ các cặn lơ lửng có khả năng lắng được, giảm tải cho các công trình xử lý phía sau.
– Xử lý bậc hai: Quá trình xử lý nhờ các vi sinh vật kị khí để loại bỏ các chất rắn lơ lửng và hòa tan trong nước thải. Giai đoạn này có hai công nghệ được áp dụng là bể phản ứng kị khí (BR) có các vách ngăn và bể lắng kị khí (AF). Bể phản ứng kị khí với các vách ngăn giúp cho nước thải chuyển động lên xuống. Dưới đáy mỗi ngăn, bùn hoạt tính được giữ lại và duy trì, dòng nước thải vào liên tục được tiếp xúc và đảo lộn với lớp bùn hoạt tính có mật độ vi sinh vật kị khí cao, nhờ đó mà quá trình phân hủy các hợp chất hữu cơ trong nước thải được diễn ra mạnh mẽ giúp làm sạch nước thải hiệu quả hơn các bể tự hoại thông thường.
Bể lọc kị khí với vật liệu lọc có vai trò là giá đỡ cho các vi sinh vật phát triển, tạo thành các màng vi sinh vật. Các chất ô nhiễm hòa tan trong nước thải được xử lý hiệu quả hơn khi đi qua các lỗ rỗng của vật liệu lọc và tiếp xúc với các màng vi sinh vật.
Toàn bộ phần kị khí nằm dưới đất, không gian phía trên có thể sử dụng làm sân chơi, bãi để xe,… Điều này rất thích hợp với các khu vực thiếu diện tích xây dựng.
– Xử lý bậc ba: Quá trình xử lý hiếu khí. Công nghệ áp dụng chủ yếu của bước này là bãi lọc ngầm trồng cây dòng chảy ngang. Ngoài quá trình lắng và lọc tiếp tục xảy ra trong bãi lọc thì hệ thực vật trồng trong bãi lọc góp phần đáng kể trong xử lý nước thải nhờ khả năng cung cấp ôxy qua bộ rễ của cây xuống bãi lọc tạo điều kiện hiếu khí cho các vi sinh vật lớp trên cùng của bãi lọc. Bộ rễ của thực vật cũng là môi trường sống thích hợp cho các vi sinh vật có khả năng tiêu thụ các chất dinh dưỡng có trong nước thải, tăng hiệu quả xử lý của bãi lọc. Ngoài ra, thực vật trong bãi lọc hấp thụ các chất dinh dưỡng như Nitơ và Phốtpho. Nước sau bãi lọc trồng cây thường không còn mùi hôi thối như đầu ra của các công trình xử lý kị khí. Sau một thời gian vận hành, hệ thực vật trong bãi lọc sẽ tạo nên một khuôn viên đẹp cho toàn bộ hệ thống xử lý.
– Khử trùng: Hồ chỉ thị với chiều sâu lớp nước nông được thiết kế để loại bỏ các vi khuẩn gây bệnh nhờ bức xạ mặt trời xuyên qua lớp nước trong hồ. Tuy nhiên, đối với nước thải có lượng vi sinh vật gây bệnh cao thì việc sử dụng hóa chất khử trùng là điều cần thiết.
HIỆU QUẢ XỬ LÝ:
DEWATS được thiết kế theo yêu cầu của khách hàng, dực trên nồng độ chất ô nhiễm vào và yêu cầu chất lượng dòng ra sau xử lý. Hiệu quả xử lý của DEWATS có thể đạt được tiêu chuẩn cho phép loại A đối với nước thải công nghiệp – TCVN 5945 – 2005.
3.6 Hệ thống xử lý nước thải bệnh viện BIOFASTTM Serie ATC
BIOFASTTM là hệ thống xử lý nước thải theo module (modulair packed wastewater treatment system). ATC C/Z là 2 loại chuyên dụng cho các bệnh viện đa khoa từ 30 đến 1000 giường. Đây là hệ thống đáng tin cậy nhất, với chế độ bảo hành miễn phí 3 năm.

Hệ thống xử lý nước thải BIOFASTTM 34C/Z có năng lực xử lý 40 m3 nước thải mỗi ngày (quy mô khoảng 200 giường). Nó được thiết kế đặc biệt, để có thể dễ dàng chuyển đổi hoặc nâng dung lượng theo nhu cầu sử dụng của bệnh viện. Hệ thống có các chức năng được mở rộng như xử lý nước cực kỳ nhanh và phân hủy các tạp chất rất hiệu quả. Hệ thống này hoàn toàn tự động, tăng công suất hoặc giảm công suất, để tiết kiệm năng lượng điện và hóa chất (Serie C). Các công đoạn xử lý bao gồm: Lọc sơ, phản ứng vi sinh (bio-reaction), sục khí O2, thu gom và khử mùi hôi khí thải, khử trùng bằng khuếch tán ozone công suất cao, (Riêng ở serie C, hệ thống khử trùng bằng chlorine tự động).
Một hệ thống Biofast™ATC gồm có 3 container. Tùy theo dung tích nước thải cần xử lý mà các container sẽ có kích cỡ khác nhau . Loại lớn nhất là cùng kích thước với container 40 feet (2,4m x 2,4m x 12m), năng lực xử lý 80 m3/ngày, tương đương bệnh viện 400 giường. Khi cần dung tích xử lý lớn hơn 100 m3/ ngày đêm, ta lắp thêm các container, hoạt động song song.

Các container xử lý nước thải (bệnh viện) được PETECH Corp sản xuất theo chất lượng chuyên dụng , để đạt được tuổi thọ trên 20 năm. Do vậy, toàn bộ khung sườn, bồn chứa, vách ngăn, vỏ ốp ngoài, … đều được làm bằng thép không gỉ SUS 304. Trong trường hợp cần trọng lượng nhẹ và giảm giá thành, chúng tôi cũng có sản phẩm bằng vật liệu nhựa composite (Fiber-glass).

Hệ thống Biofast™ATC 34C/Z được sản xuất chuyên dụng cho xử lý nước thải Bệnh viện, được trang bị các thiết bị công nghệ hiện đại nhất. Các công nghệ này đã được ứng dụng thành công tại các nước công nghiệp tiên tiến.
BIOFASTTMATC có 4 giải pháp nổi bật là :
- Cơ cấu xử lý vi sinh hoàn hảo và tự động ( EMPerfectTM) :
Tại Container 1 và 2 có từ 4 đến 8 bể chứa 3 tầng. Hệ thống bể với các vách ngăn theo “know-how” mới, dòng nước thải sẽ có điều kiện tiếp xúc tối ưu với vi sinh vật tại các tấm giá thể vi sinh .
Cũng do cấu trúc đặc biệt giữa các vách ngăn, dòng nước thải sẽ di chuyển từ dưới lên trên, rồi từ trên xuống dưới, liên tục qua từng ngăn. Do đó, phản ứng vi sinh được xảy ra trong điều kiện động, đạt hiệu quả xử lý cao hơn gấp 6 lần, so với điều kiện tĩnh. Yếu tố quan trọng nữa là kết cấu đặc biệt của các vách ngăn này tạo ra được sự lên men Axit và lên men Kiềm, ở từng ngăn khác nhau của bể. Các dòng vi khuẩn khác nhau được ưu tiên phát triển mạnh ở các ngăn khác nhau và nhanh chóng “ăn hết” các chất bẩn trong dòng nước thải.ATC
Trong quá trình hoạt động vi sinh, một lượng đáng kể khí metan (CH4), khí H2S và các hơi acid hữu cơ khác sẽ phát sinh. Đây chính là “thủ phạm” gây ra mùi hôi thối, bốc lên làm ô nhiễm không khí trong toàn bệnh viện và khu dân cư lân cận. BIOFASTTM ATC là một hệ xử lý khép kín và có bộ phận thu gom triệt để khí thải rồi khử sạch bằng Ozone.
EMPerfectTM là một sáng chế có tác dụng tăng dung lượng xử lý nước thải, giảm lượng bùn tích tụ, giảm thể tích bể và giảm diện tích chiếm dụng mặt bằng của Bệnh viện. Hệ thống BiofastTM chỉ sử dụng 25% diện tích mặt bằng, so với các hệ thống khác. Do vậy sẽ tiết kiệm nhiều tỷ đồng cho chi phí mặt bằng đô thị. - Bể SupAeroTM, tại container số 2:
SupAero™ là kỹ thuật “Siêu Sục khí”, do Petech phát triển, trên cơ sở đưa thiết bị đánh bọt siêu tốc (quay 2000 vòng/phút) vào bể “aeroten” truyền thống, qua đó tạo hiệu ứng Sinh học-Động lực (Bio-Kinetic effect). Nhờ “hiệu ứng Bi-Ki”, hiệu quả Oxid hóa sẽ tăng lên từ 5 đến 10 lần, so với bể “aeroten” có cùng thể tích. Do vậy, bể SupAero™ có thể tích gọn nhẹ, chỉ bằng 20% so với bể “Aeroten” thông thường và chi phí điện (sục khí) cũng giảm được 20%.
c. Hệ thống SmartO3 TM Serie Z:
Là hệ thống Khử trùng “Ozone thông minh”, các sensor và card vi xử lý sẽ điều tiết hoạt động từng module Ozone. Công suất hoạt động sẽ tăng lên khi mật độ tạp chất trong nước thải tăng hoặc lưu lượng dòng thải tăng. Ngược lại, khi tạp chất giảm và lưu lượng dòng nước thải giảm, thì SmartO3 sẽ tự động giảm lượng khí Ozone tương ứng. Nhờ vậy, năng lượng điện rất tiết kiệm (đến 30% , so với hệ thống Ozone thường) và tuổi thọ thiết bị tăng lên, do hạn chế được lượng O3 dư thừa gây lão hóa hoặc phá hỏng thiết bị điện. (Serie C sử dụng SmartChlorine Component để khử trùng, có giá thành hạ)
- Hệ thống RmS™ :
RmS™ là hệ thống giám sát Quản lý – Vận hành từ xa, (Remote mini SCADA). Hệ thống này đạt được 3 lợi ích :
a. Giúp cho bộ phận quản lý của Bệnh viện được thảnh thơi, nhờ vận hành hoàn toàn tự động, không cần người chăm sóc thường xuyên.
b. Giúp cho nhà sản xuất (Petech) biết được tình trạng hoạt động của Hệ thống Biofast™ một cách nhanh chóng và chính xác từng công đoạn. Do vậy, việc bảo hành bảo trì đơn giản và nhanh chóng.
c. Giúp cho nhà quản lý (Sở Y tế, Sở Tài nguyên – Môi trường, hoặc cảnh sát môi trường) chỉ cần thông qua mạng Internet/Mobile Net là biết được tình hình hoạt động của Hệ thống Biofast™.
Chương 3
HÌNH ẢNH THỰC TẾ TRẠM XỬ LÝ
NƯỚC THẢI TẠI MỘT SỐ BỆNH VIỆN
Tại bênh viện Chợ Rẫy
Tại bệnh viện Gia Định
Tại bệnh viện Ung Bướu
Sơ đồ công nghệ xư lý nước thải bệnh viện Ung Bướu:
Chương 4
ĐỀ XUẤT CÁC PHƯƠNG ÁN
XỬ LÝ NƯỚC THẢI BỆNH VIỆN
4.1 Lựa chọn sơ đồ công nghệ của trạm xử lý nước thải bệnh viện
Dựa vào các yếu tố cơ bản sau:
- Công suất của trạm xử lý;
- Thành phần và đặc tính của nước thải;
- Mức độ cần thiết xử lý nước thải;
- Tiêu chuẩn xả nước thải vào nguồn tiếp nhận;
- Điều kiện mặt bằng và đặc điểm địa chất thủy văn của khu vực;
- Các chỉ tiêu kinh tế kỹ thuật.
4.2 Các phương án xử lý nước thải bệnh viện
Từ những yếu tố cơ bản trên có thể đề xuất 3 phương án để xử lý nước thải bệnh viện, và so sánh chọn 1 phương án thích hợp và có hiệu quả kinh tế-kỹ thuật để tính toán chi tiết các công trình đơn vị trong phương án xử lý đó.
Phương án 1
- Thuyết minh sơ đồ công nghệ phương án 1
Nước thải từ các khoa của bệnh viện theo mạng lưới thoát nước riêng , nước chảy qua mương dẫn có đặt song chắn rác, ở đây nước thải sẽ được loại bỏ các chất hữu cơ hoặc những chất có kích thước lớn như bao ni lông, ống chích, bông băng, vải vụn, …nhằm tránh gây tắc nghẽn các công trình phía sau. Sau đó nước thải được dẫn vào bể điều hòa để ổn định lưu lượng và nồng độ, tránh hiện tượng quá tải vào các giờ cao điểm, do đó giúp hệ thống xử lý làm việc ổn định và giảm kích thước các công trình đơn vị tiếp sau. Trong bể điều hòa có bố trí hệ thống thổi khí nhằm xáo trộn hoàn toàn nước thải không cho cặn lắng trong bể đồng thời cung cấp O2 để giảm một phần BOD. Sau đó nước thải chảy vào bể lắng 1 nhằm lắng cặn lơ lửng và một phần BOD. Sau đó nước thải sẽ được đưa vào bể Aerotank thực hiện quá trình phân hủy hiếu khí các chất hữu cơ có khả năng phân hủy sinh học ở dạng hòa tan và dạng lơ lửng. Trong bể Aerotank được cấp khí và khuấy trộn nhằm tăng hàm lượng oxy hòa tan và quá trình oxy hóa các chất hữu cơ trong nước thải. Sau đó nước thải chảy vào bể lắng 2 để lắng cặn sinh học và bùn hoạt tính. Từ bể lắng 2 nước chảy sang bể khử trùng để loại các vi sinh vật gây bệnh trước khi thải vào nguồn tiếp nhận.
Bùn hoạt tính từ bể lắng 2 một phần tuần hoàn lại vào bể Aerotank, phần còn lại được dẫn vào bể nén bùn.Tại bể nén bùn, bùn được tách nước để làm giảm độ ẩm của bùn, phần nước tách từ bùn sẽ được tuần hoàn vào bể điều hòa. Phần bùn từ bể nén bùn sẽ được vận chuyển ra sân phơi bùn để khử hoàn toàn nước và bùn này có thể sử dụng để làm phân bón.
- Ưu điểm của phương án 1
- Công nghệ đơn giản;
- Vận hành đơn giản;
- Giá thành đầu tư ban đầu thấp vì công nghệ chủ yếu là bê tông cốt thép.
- Khuyết điểm của phương án 1
- VSV phát triển trong bể Aerotank thường rất chậm và sinh khối tạo ra không nhiều;
- Hiệu quả xử lý không cao vì công nghệ đơn giản.
Phương án 2
- Thuyết minh sơ đồ công nghệ phương án 2
Về phần cơ bản giống sơ đồ công nghệ phương án 1 nhưng thay bể Aerotank bằng bể UASB. Trong bể UASB có lớp cặn tồn tại dạng lơ lửng chứa rất nhiều VSV yếm khí, nước thải sẽ tiếp xúc với các hạt cặn bùn này và xảy ra phản ứng sinh hóa , phần lớn các chất hữu cơ chuyển thành khí(trong đó 70-80% là khí methan, 20-30% là khí cacbonic và một số loại khí khác).
- Ưu điểm của phương án 2
- Công nghệ đơn giản;
- Vận hành đơn giản;
- Giá thành đầu tư ban đầu thấp vì công nghệ chủ yếu là bê tông cốt thép;
- Thu được khí CH4 phục vụ nhu cầu về năng lượng.
- Khuyết điểm của phương án 2
- Thời gian vận hành bể UASB khá lâu;
- Khó kiểm soát trạng thái và kích thước hạt bùn;
- Hiệu quả xử lý thấp vì công nghệ đơn giản.
Phương án 3
- Thuyết minh sơ đồ công nghệ phương án 3
Nước thải từ các khoa của bệnh viện theo mạng lưới thoát nước riêng , nước thải qua song chắn rác, sau đó chảy vào bể lắng cát , ở đây nước thải sẽ được loại bỏ các tạp chất hữu cơ có kích thước lớn như bao ni lông, ống chích, bông băng, vải vụn, …nhằm tránh gây hư hỏng bơm và tắc nghẽn các công trình phía sau.
Sau đó nước thải được dẫn vào bể điều hòa để ổn định lưu lượng và nồng độ, tránh hiện tượng quá tải vào các giờ cao điểm, do đó giúp hệ thống xử lý làm việc ổn định và giảm kích thước các công trình đơn vị tiếp sau. Trong bể điều hòa có bố trí hệ thống thổi khí nhằm xáo trộn hoàn toàn nước thải không cho cặn lắng trong bể đồng thời cung cấp O2 để giảm một phần BOD.
Sau đó nước thải chảy vào bể lắng 1 nhằm lắng cặn lơ lửng và một phần BOD.
Sau đó nước thải được đi vào bể UASB , nước thải phân phối vào từ dưới đáy bể và đi ngược lên qua lớp bùn sinh học có mật độ vi khuẩn cao.
Sau đó nước thải sẽ được đưa vào bể Aerotank thực hiện quá trình phân hủy hiếu khí các chất hữu cơ có khả năng phân hủy sinh học ở dạng hòa tan và dạng lơ lửng. Trong bể Aerotank được cấp khí và khuấy trộn nhằm tăng hàm lượng oxy hòa tan và quá trình oxy hóa các chất hữu cơ trong nước thải.
Sau đó nước thải chảy vào bể lắng 2 để lắng cặn sinh học và bùn hoạt tính.
Từ bể lắng 2 nước chảy sang bể khử trùng để loại các vi sinh vật gây bệnh bằng dung dịch Chlorin 5% trước khi thải vào nguồn tiếp nhận. Ngoài mục đích khử trùng, chlorine còn có thể sử dụng để giảm mùi. Hàm lượng chlorine cần thiết để khử trùng cho nước sau lắng từ 3-15mg/l .Hàm lượng Chlorine cung cấp vào nước thải ổn định qua bơm định lượng hóa chất.
Bùn hoạt tính từ bể lắng 2 một phần tuần hoàn lại vào bể Aerotank, phần còn lại được dẫn vào bể nén bùn.Tại bể nén bùn, bùn được tách nước để làm giảm độ ẩm của bùn, phần nước tách từ bùn sẽ được tuần hoàn vào bể điều hòa để tiếp tục xử lý. Phần bùn từ bể nén bùn sẽ được dùng làm phân bón hoặc san lấp.
- Ưu điểm của phương án 3
- Hiệu quả xử lý cao vì kết hợp xử lý yếm khí và hiếu khí;
- Ít tiêu hao năng lượng trong quá trình hoạt động;
- Giá thành vận hành thấp;
- Hệ thống kỵ khí sản sinh ít bùn thừa;
- Thu khí CH4 phục vụ nhu cầu năng lượng.
- Khuyết điểm của phương án 3
- Thời gian khởi động bể UASB lâu;
- Khó kiểm soát trạng thái và kích thước hạt bùn.
- Lựa chọn phương án xử lý thích hợp để tính toán
Dựa vào ưu, khuyết điểm của 3 phương án trên và mức độ cần thiết xử lý là đạt tiêu chuẩn loại A để thải vào nguồn tiếp nhận nên nhóm chọn phương án 3 được coi là phương án tối ưu để tính toán.
CHƯƠNG 5
TÍNH TOÁN CÁC CÔNG TRÌNH ĐƠN VỊ PHƯƠNG ÁN 3
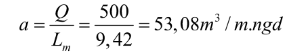
Xác định lưu lượng tính toán:
Q= 500m3/ng.đ
Qh = m3/h
Qs = m3/s
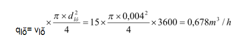
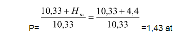
5.1 Song chắn rác



Nhiệm vụ : giữ lại các tạp chất có kích thước lớn, nhờ đó tránh gây tắc nghẽn và bào mòn bơm, đường ống hoặc kênh dẫn. Đây là công trình đầu tiên của trạm xử lý nước thải.
Chọn các thông số kỹ thuật của mương đặt song chắn rác:
- Độ dốc I = 0,008
- Chiều ngang B = 0,2 m
- Chọn tốc độ của nước thải trước song chắn rác V = 0,6 m/s
- Độ dày h = 0,1m
- Chiều cao lớp nước ở song chắn rác lấy bằng độ dày tính toán ở mương dẫn: h1 = h = 0,1m
- Số khe hở của song chắn rác được tính theo công thức:

Trong đó:
n:số khe hở song chắn rác
: tốc độ nước chảy qua song chắn rác = 0,6 m/s
K: hệ số tính đến mức độ thu hẹp dòng chảy do hệ thống cào rác, K = 1,05.
B: khoảng cách khe hở của song chắn rác, b=16 – 25 mm. Chọn b = 16 mm.
Q :lưu lượng nước thải, Q = 0,0058 m3/s
- Số thanh chắn: m = n- 1 = 6 – 1 = 5 thanh
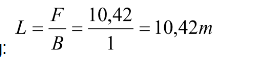
- Chiều rộng của song chắn rác được tính theo công thức:
Bs = s(n+1) + bn = 0,008(6+1) + 0,0166= 0,152 m
Trong đó: s là bề dày của thanh chắn rác, s = 0,008 mm.
- Kiểm tra vận tốc dòng chảy ở phần mở rộng của mương trước song chắn rác để khắc phục khả năng lắng đọng cặn khi vận tốc nhỏ hơn 0,4 m/s

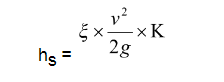
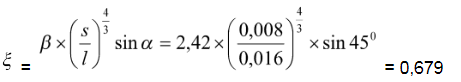
- Tổn thất áp lực ở song chắn rác:

Trong đó:
: vận tốc nước thải trước song chắn;
K: hệ số tính đến sự tăng tổn thấtdo vướng mắc rác ở song chắn, K=2-3,chọn K=2;
: hệ số sức cản cục bộ của song chắn được xác định theo công thức:

: hệ số phụ thuộc vào tiết diện ngang của thanh song chắn, chọn hình dạng tiết diện thanh song chắn là hình chữ nhật, khi đó =2,42;
: góc nghiêng của song chắn so với hướng dòng chảy,
=45°
Suy ra:

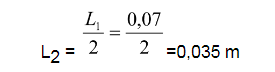
- Chiều dài phần mở rộng trước thanh chắn rác L1:

Trong đó:
Bs : chiều rộng song chắn rác, Bs=0,152m
B : chiều rộng mương dẫn, B=100mm=0,1m
: góc nghiêng chỗ mở rộng, thường lấy
=20°
- Chiều dài phần mở rộng sau thanh chắn rác L2:

- Chiều dài xây dựng của phần mương để lắp đặt song chắn rác:
L = L1 + L2 + Ls = 0,07 +0,035 + 0,5 = 0,605 m
Trong đó: Ls: chiều dài phần mương đặt song chắn rác, Ls=0,5m.
- Chiều sâu xây dựng của phần mương đặt song chắn rác:
H = h1 + hs + hbv= 0,1 + 0,044 + 0,5 = 0,644m
Trong đó:
h1: độ đầy ở mương dẫn, h1=0,1m;
hs: tổn thất áp lực ở song chắn rác, hs=0,044m;
hbv:chiều cao bảo vệ. Chọn hbv=0,5m
- Khối lượng rác được giữ lại trước song chắn rác được xác định:

Trong đó:
- a: lượng rác tính cho đầu người trong năm, lấy a = 8 L/ng.năm (Điều 4.1.11-TCXD-51-84).

- Trọng lượng rác ngày đêm là:
Trong đó:
G: tỷ trọng rác, G = 750 kg/m3
Lượng rác lấy ra là 0,076 m3/ng.đ < 0,1 m3/ngd nên sử dụng phương pháp vớt rác thủ công rồi đem chôn lấp tại bãi rác.
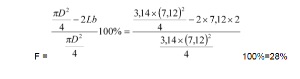
Hàm lượng chất lơ lửng (TSS) và BOD5 của nước thải sau khi đi qua song chắn rác giảm 4%, còn lại:
TSS = TSS (100-4)% = 263 96% = 252,48 mg/l
BOD5 = BOD5 (100-4)% = 493 96% = 473,3 mg/l
Các thông số thiết kế song chắn rác
| STT | Thông số thiết kế | Đơn vị | Số liệu |
| 1
2 3 4 5 6 7 8 |
Số khe hở của song chắn
Chiều cao lớp nước ở song chắn rác Chiều rộng Chiều dài xây dựng của phần mương để lắp đặt song chắn rác Tổn thất áp lực ở song chắn rác Chiều sâu xây dựng của phần mương đặt song chắn rác Khối lượng rác được giữ lại trước song chắn Trọng lượng rác ngày đêm |
Khe
m m m m m m3/ngày.đ Kg/ngày.đ |
6
0,1 0,152 0,605 0,044 0,644 0,076 54,75 |
5.2 Bể lắng cát ngang

Nhiệm vụ: Loại bỏ các tạp chất vô cơ không hòa tan như cát, sỏi,xỉ và các các vật liệu rắn khác có vận tốc lắng hay trọng lượng riêng lớn.
Chọn thời gian lưu nước trong bể lắng cát ngang t = 60s.
Lưu lượng nước tính toán: Q = 0,0058 m3/s
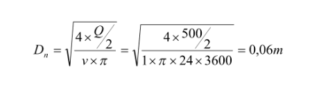
- Thể tích tổng cộng của bể lắng cát:
![]()
- Chiều dài bể lắng cát ngang được xác định theo công thức:

Trong đó:
K : hệ số phụ thuộc vào loại bể lắng cát và độ thô thủy lực của hạt cát U0.Với đường kính hạt cát giữ lại trong bể d=0,2mm→U0=18,7mm/s và K=1,7;
Htt: độ sâu tính toán của bể lắng cát, Htt=0,25-1m (Điều 6.3.4.a-TCXD-51-84). Chọn Htt=0,25m;
: tốc độ của nước thải trong bể lắng cát ngang,
=0.25-0,4. Chọn
=0,3m/s (Bảng TK-2 –xử lý nước thải đô thị và công nghiệp, tính toán thiết kế công trình-Lâm Minh Triết,Nguyễn Thanh Hùng, Nguyễn Phước Dân).
U0: độ thô thủy lực của hạt cát, U0=18,7-24,2mm/s ứng với đường kính của hạt cát d=0,20-0,25mm. Chọn U0=18,7mm/s.
- Diện tích tiết diện ướt của bể lắng cát ngang được tính theo công thức:

Trong đó:
: tốc độ của nước thải trong bể lắng cát ngang. Chọn =0,15m/s .
- Chiều rộng bể lắng cát ngang được xác định theo công thức:

Trong đó:
Htt: độ sâu tính toán của bể lắng cát, Htt=0,25-1m (Điều 6.3.4.a-TCXD-51-84), chọn Htt=0,25m.
- Thể tích phần chứa cặn của bể lắng cát ngang được tính theo công thức:

Trong đó:
P: lượng cát lắng được trong bể cát, P = 0,02l/ng.ngđ (Điều 6.3.5-TCXD-51-84);
N: dân số tính toán, N = 3500người;
t:chu kỳ xả cát, t = 2 ngày đêm.
Chọn bể lắng cát ngang gồm 2 đơn nguyên làm việc luân phiên nhau.
- Chiều cao lớp cát trong bể lắng cát ngang trong 2 ngày đêm :

Với n = 1: Số bể lắng cát làm việc.
- Chiều cao xây dựng của bể lắng cát ngang :
Hxd = Httmax + hc + hbv = 1 + 0,26 + 0,5 = 1,76m
Chọn chiều cao bảo vệ :hbv=0,5m
Hàm lượng chất lơ lửng (TSS) và BOD5 của nước thải sau khi đi qua bể lắng cát giảm 5%, còn lại:
TSS = TSS (100-5)% = 252,48 95% = 239,98 mg/l
BOD5 = BOD5 (100-5)%= 473,3 95% = 449,64 mg/l
Các thông số thiết kế bể lắng cát ngang
| STT | Thông số thiết kế | Đơn vị | Số liệu |
| 1
2 3 4 5 |
Thể tích bể
Chiều dài Chiều rộng Chiều cao Số đơn nguyên |
m3
m m m Đơn nguyên |
0,348
6,82 0,08 1,76 2 |
5.3 Bể điều hòa
Nhiệm vụ: Bể điều hòa có nhiệm vụ điều hòa nước thải về lưu lượng và nồng độ, giúp làm giảm kích thước và tạo chế độ làm việc ổn định cho các công trình phía sau , tránh hiện tượng quá tải.
Nội dung tính toán :
- Kích thước bể
- Hệ thống xáo trộn tránh lắng cặn
Thời gian lưu nước trong bể điều hòa t = 4÷12 h.Chọn t = 8 h .
Xác định kích thước bể:
- Thể tích bể điều hòa :

Chọn chiều cao làm việc h = 4m, chiều cao bảo vệ hbv = 0,5m
- Chiều cao xây dựng :
![]()
- Diện tích mặt bằng bể :

Chia bể điều hòa làm 2 ngăn thông nhau, kích thước mỗi ngăn : LxBxH = 53,54,5
Hàm lượng BOD5 của nước thải sau khi đi qua bể điều hòa giảm 5%, còn lại:
BOD5 = BOD5 (100-5)%= 449,64 95% = 427,15 mg/l
| STT | Thông số thiết kế | Đơn vị | Số liệu |
| 1
2 3 4 5 6 |
Thể tích bể
Chiều dài Chiều rộng Chiều cao Diện tích mặt bằng bể Số đơn nguyên |
m3
m m m m2 bể |
166,4
5 3,5 4,5 37 2 |
Tính toán hệ thống cấp khí cho bể điều hòa :
- Lượng không khí cần thiết :

Trong đó :
a : lượng không khí cấp cho bể điều hòa, a = 3,74m3 khí/m3 nước thải (Theo W.Wesley Echenfelder, Industrial Water Pollution Control,1989).
Chọn hệ thống cấp khí bằng thép có đục lỗ, mỗi ngăn bao gồm 2 ống đặt dọc theo chiều dài bể (6,5m).
- Lưư lượng khí trong mỗi ống :

Trong đó :
: vận tốc khí trong ống,
=10-15m/s. chọn
=10m/s.
- Đường kính ống dẫn khí:

Chọn ống
= 21mm, đường kính các lỗ 2-5mm. Chọn
=4mm=0,004m.Vận tốc khí qua lỗ
=5-20m/s, chọn
=15m/s.
- Lưu lượng khí qua một lỗ:

- Số lỗ trên một ống:

Chọn N=12 lỗ
- Số lỗ trên 1m chiều dài ống:
![]()
Chọn n = 3 lỗ/m.ống.
5.4 Tính toán bể lắng hai vỏ
Nhiệm vụ:
- Lắng các tạp chất lơ lửng;
- Chế biến cặn lắng bằng quá trình lên men kỵ khí.
Nội dung tính toán bể lắng 2 vỏ gồm 2 phần cơ bản:
- Tính toán máng lắng;
- Tính toán ngăn lên men cặn lắng.
- Tính toán máng lắng:
Thể tích tổng cộng của bể lắng:
![]()
Trong đó:
t: thời gian lắng ở bể lắng 2 vỏ, t=1,5h.(Theo 6.5.3-TCXD-51-84).
Thể tích hữu ích của máng lắng được tính theo công thức sau đây:
![]()
Diện tích tiết diện ướt của một máng lắng được xác định theo công thức :

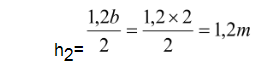
Nếu góc nghiên ở đáy máng lắng được thiết kế với một góc 500 thì công thức trên có thể viết thành :
![]()
Trong đó :
b : chiều ngang máng lắng, lấy không quá 3m, chọn b=2m ;
h1 : chiều cao lớp nước phần hình chữ nhật của máng lắng lấy không quá 1m, chọn h1=0,5m ;
Vậy :

Chiều cao lớp nước phần hình tam giác của máng lắng được tính như sau:

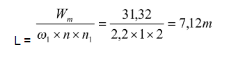
Chiều dài của máng lắng được xác định theo công thức:

Trong đó:
n: số lượng bể lắng 2 vỏ, n=1;
n1: số lượng máng lắng trong một bể, n1=2.
Chọn bể lắng 2 vỏ có dạng hình tròn trong mặt bằng, vì vậy chiều dài của máng lắng bằng đườg kính trong bể: L = D = 7,12m
Tốc độ lắng của hạt lơ lửng qua máng lắng được xác định theo công thức:

Trong đó:
t: thời gian lắng, t=1,5h ;
H : chiều sâu trung bình của máng lắng, được xác định như sau :
H = h1+0,5h2=0,5+0,51,2=1,1m
Vậy :

Hiệu quả lắng chất lơ lửng của bể là 40-50% :
TSS = TSS (100-40)% = 239,98 60% = 144 mg/l
Hàm lượng BOD5 của nước thải giảm 15-20%, còn lại:
BOD5 = BOD5 (100-15)%= 427,15 85% = 363,1mg/l
Với TSS=144 mg/l < 150 mg/l thỏa Điều 6.5.3-TCXD-51-84 rằng nước thải dẫn đến công trình xử lý sinh học có hàm lượng chất lơ lửng không vượt quá 150 mg/l .
Theo tiêu chuẩn thiết kế (Điều 6.6.2=TCXD-51-84) thì mặt thoáng tự do của bể lắng 2 vỏ để cặn không nổi lên không nhỏ hơn 20% diện tích mặt bằng của bể (nhưng không lớn hơn 50%). Thực hiện điều này có nghĩa là nhằm tránh sự tích đọng màng bùn quá nhanh và cũng để tạo một thể tích dung dịch đệm nước bùn đủ cho quá trình hoạt động bình thường của bể.
Diện tích mặt thoáng được tính như sau:

Như vậy thỏa mãn yêu cầu ở trên.
- Tính toán ngăn bùn
Ngăn bùn của bể lắng 2 vỏ được tính toán phụ thuộc vào thời gian lên men cặn hữu cơ và phụ thuộc vào nhiệt độ trung bình của nước thải về mùa lạnh (hoặc nhiệt độ trung bình năm của không khí).
Thể tích ngăn bùn của bể lắng 2 vỏ được tính theo công thức:

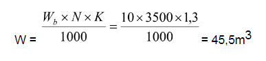
Trong đó:
Wb: thể tích ngăn tự hoại trong bể lắng 2 vỏ, lấy theo Điều 6.6.3-TCXD-51-84. ứng với nhiệt độ nước thải về mùa lạnh 250C. Wb=10l/người;
N: dân số tính toán, N=3500 người;
K: hệ số tăng thể tích ngăn bùn, lấy bằng 30% khi dẫn bùn từ bể lắng sau bể lọc sinh học nhỏ giọt hoặc bể Aerotank làm sạch không hoàn toàn vào, K=1,3;
Lượng bùn sinh ra mỗi ngày

Thể tích bùn sinh ra mỗi ngày
Vbun = Mbun/C = 0,6 m3/ngày
Trong đó C là hàm lượng chất rắn trong bùn lấy = 80kg/m3
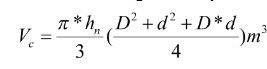
Chiều cao phần hình nón ( với đáy nghiên 300) được tính theo công thức:
hn= 0,29D-0,12= 0,297,12-0,12=1,9m
Thể tích phần hình nón của bể lắng 2 vỏ được tính theo công thức:

Trong đó:
F1: diện tích mặt cắt ngang hình trụ của bể lắng được xác định bởi:

F2: diện tích đáy nhở hình nón cụt được xác định bởi:

ở đây d là đường kính đáy nhỏ hình nón cụt dược xác định như sau:
![]()
Chiều cao xây dựng của bể lắng 2 vỏ bằng:
Hxd=h1+h2+h3+h4+htr+hn=0,5+1,2+0,5+0,4+2+1,9=6,5m
Trong đó:
h3: chiều cao lớp trung hòa, tính từ mực bùn cao nhất đến khe hở của máng lắng, h3=0,4-0,5m. Chọn h3=0,5m;
h4: khoảng cách từ mực nước đến thành bể, chọn h4=0,4m;
htr: chiều cao phần hình trụ của bể lắng 2 vỏ, lấy 2-3m. Chọn htr=2m;
hn: chiều cao phần hình nón, hn=1,9m.
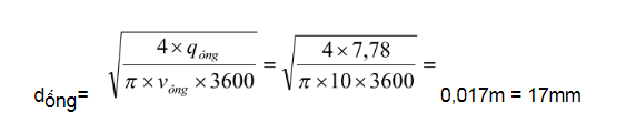
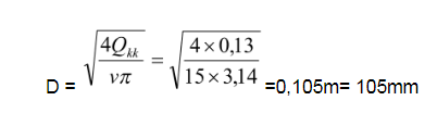
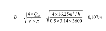
5.5 Tính toán bể UASB
UASB – bể xử lý sinh học dòng chảy ngược qua lớp bùn ( Upflow anaerobic sludge blanket). Mô hình bể là hình trụ tròn gồm 2 phần: phần phân huỷ và phần lắng. Nước thải được phân phối vào từ đáy bể và đi ngược lên qua lớp bùn sinh học có mật độ vi khuẩn cao.
Khí sinh ra trong quá trình phân huỷ kỵ khí được thu vào phễu tách khí lắp đặt phía trên. Để thu khí tập trung vào phễu không vào ngăn lắng , cần thiết có tấm hướng dòng.
Các thông số đầu vào của bể UASB :
Q = 500m3/ngđ
BOD5 = 363,1 mg/l
COD = 420 mg/l
SS = 144mg/l
Thực nghiệm trên mô hình pilot rút ra được kết quả sau:
- Bùn nuôi cấy ban đầu lấy từ bùn của bể phân huỷ kỵ khí từ quá trình xủa lý nước thải sinh hoạt cho vào bể với hàm lượng 30kgSS/m3;
- Tỉ lệ MLVS/MLSS của bùn trong bể UASB =0,75;
- Tải trọng bề mặt phần lắng 12m3/m2.ngày;
- ở tải trọng thể tích L0 = 3kg COD/m3.ngày, hiệu quả khử COD đạt 65% và BOD5 đạt 75%;
- Lượng bùn phân huỷ kỵ khí cho vào ban đầu có TS=5%;
- Y=0,04 gVSS/gCOD, kđ=0,025 ngày-1,tc=60 ngày.
Để giữ cho lớp bùn hoạt tính ở trạng thái lơ lửng, tốc độ nước dâng trong bể phải giữ trong khoảng 0,6 – 0,9m/h . Chọn v=0,6 m/h.
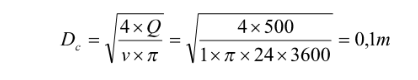
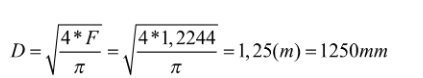
- Diện tích bề mặt cần thiết của bể:
Chọn 
- Thể tích ngăn phản ứng bể UASB :

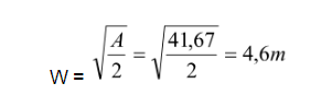
Chọn 2 đơn nguyên hình vuông, vậy cạnh mỗi đơn nguyên là:

- Chiều cao phần phản ứng:

Giả sử :
Chiều cao phểu thu khí: hp=1,5m; (Theo quy phạm hp=1,5-2m)
Chiều cao bảo vệ: hbv=0,3m.
- Chiều cao tổng cộng của bể UASB:
Htc = H + hp + hbv= 1,7+1,5+0,3=3,5m
- Thể tích thực của bể:
![]()
Thời gian lưu nước trong bể UASB 6h.
- Lượng bùn nuôi cấy ban đầu cho vào bể (TS = 5%):

Trong đó:
Css: hàm lượng bùn trong bể, kg/m3;
Vr: thể tích ngăn phản ứng;
TS: hàm lượng chất rắn trong bùn nuôi cấy ban đầu, %.
Hàm lượng COD của nước thải sau xử lý kỵ khí:
CODra= (1-ECOD)CODvào=(1-0,65)420 mg/l =147 mg/l
Hàm lượng BOD của nước thải sau xử lý kỵ khí:
BODra= (1-EBOD)BODvào=(1-0,75)363,1 mg/l =272,31 mg/l
Tính toán ngăn lắng:
- Diện tích bề mặt phần lắng:

Trong mỗi đơn nguyên, bố trí 2 chụp thu khí và 4 tấm hướng dòng.
Tổng chiều cao của toàn bộ ngăn lắng Hlắng (kể cả chiều cao vùng lắng) và chiều cao dự trữ chiếm trên 30% tổng chiều cao bể. Chọn Hlắng=40%Htc=1,4m
- Thời gian lưu nước trong ngăn lắng, thời gian này phải lớn hơn 1h:
:thoả điều kiện.
Tính toán phễu thu khí
Giả sử mỗi đơn nguyên gồm 2 phễu thu khí. Mỗi phễu có chiều cao 1,5m. Đáy phễu thu khí có chiều dài bằng cạnh đơn nguyên: l = W = 4,6mg/l và chiều rộng w=1,9m.
Trong mỗi đơn nguyên có 4 khe hở.
- Vậy phần diện tích bề mặt khe hở giữa các phễu thu khí là:
:thoả điều kiện
Trong đó:
A: diện tích bề mặt bể;
Akh: diện tích khe hở giữa các phễu thu khí;
Ap: diện tích đáy phễu thu khí.
Giá trị này nằm trong khoảng 15-20%.
- Diện tích của mỗi khe:

- Bề rộng khe hở:

Tính toán tấm hướng dòng
Tấm hướng dòng cũng được đặt nghiêng 1 góc 600 so với phương ngang cách tấm chắn khí 0,19 .
Tính toán lượng khí mêtan sinh ra
- Thể tích khí mêtan sinh ra mỗi ngày:

Trong đó:
: thể tích khí mêtan sinh ra ở điều kiện chuẩn ( nhiệt độ 00C và áp suất 1atm);
Q: lưu lượng nước thải cần xử lý, m3/ngày;
Px: sinh khối tế bào sinh ra mỗi ngày, kg VS/ngày;
350,84: hệ số chuyển đổi lý thuyết lượng khí mêtan sản sinh từ 1 kg BODL chuyển hoàn toàn thành khí mêtan và CO2, lit CH4/kg BODL.
Tính toán lượng bùn sinh ra
- Lượng sinh khối hình thành mỗi ngày:

- Lượng bùn dư sinh ra mỗi ngày:

- Lượng chất rắn từ bùn dư:

Tính toán dàn ống phân phối nước vào
- ống chính
Vận tốc nước chảy trong ống chính v=0,8 -2m/s.Chọn vận tốc nước trong ống chính vc = 1 m/s.

=>chọn ống nhựa PVC có đường kính ống
=110mm.
- ống nhánh
Từ ống chính chia làm 2 ống nhánh đi vào 2 đơn nguyên.
Vận tốc nước chảy trong ống nhánh v=0,8 -2m/s.Chọn vận tốc nước trong ống nhánh vn = 1 m/s.

=>chọn ống nhựa PVC có đường kính ống =63mm.
- ống nhánh nhỏ
Từ 2 ống nhánh chia làm 4 ống nhánh nhỏ đi vào mỗi đơn nguyên.

=>chọn ống nhựa PVC có đường kính ống
=40mm.
Ống dẫn nước thải sang aerotank
Vận tốc nước chảy trong ống v=0,1- 0,5m/s , chọn v=0,5m/s.

chọn ống nhựa PVC có đường kính ống
=125mm.
Lấy mẫu
Để biết được sự hoạt động bên trong bể, dọc theo chiều cao bể ta đặt các van lấy mẫu. Với các mẫu thu được ở cùng một van, ta có thể ước đoán lượng bùn ở độ cao đặt van đó. Sự ước đoán này rất cần thiết khi muốn biết tải trọng thực sự của bùn và thời gian lưu bùn hiện trong bể là bao nhiêu, từ đó mà có sự điều chỉnh thích hợp.
Trong điều kiện ổn định, tải trọng của bùn gần như không đổi, do đó mật độ bùn tăng lên đều đặn. Nhưng ngay trong những trường hợp đó, việc lấy mẫu vẫn được đề nghị thực hiện đều đặn.
Khi mở van, cần điều chỉnh sao cho bùn ra từ từ để đảm bảo thu được bùn gần giống trong bể vì nếu mở lớn quá thì nước sẽ thoát ra nhiều hơn. Thông thường lấy 50÷150 ml mẫu vào 2 lần cách nhau ít nhất 1h.
Bể cao 3,5 do đó dọc theo chiều cao bể đặt 5 van lấy mẫu, các van đặt cách nhau 0,7m. Van dưới cùng đặt cách đáy 0,5m.
Chọn ống và van lấy mẫu bằng nhựa PVC cứng
= 25mm.
5.6 Bể Aerotank

Nhiệm vụ: Thực hiện quá trình phân hủy các chất hữu cơ có trong nước thải ở điều kiện hiếu khí.
Các thông số đầu vào của bể Aerotank
| Chỉ số | Đơn vị | Giá trị đầu vào | Giá trị đầu ra |
| Lưu lượng | m3/ng.đ | 500 | |
| BOD5 | mg/l | 272,31 | 30 |
| COD | mg/l | 147 | – |
| SS | mg/l | 144 | 50 |
| Tổng Nitơ Kjeldahl(NK) | mg/l | 65 | – |
| Tổng Photpho P | mg/l | 12 | – |
| Tổng Coliforms | Kl/100ml | 4,9*106 | 1000 |
Các thông số tính toán cơ bản cho Aerotank xáo trộn hoàn toàn:
- Thời gian lưu bùn:
ngày. - Tỷ số F/M: 0.2 – 0.6 kg/kg.ngày.
- Tải trọng thể tích: 0.8 – 1.92 kgBOD5/m3.ngày.
- Nồng độ MLSS: 2500 – 4000mg/l.
- Tỷ số thể tích trên lưu lượng giờ:
- Tỷ số tuần hoàn bùn hoạt tính:

- BOD5:BOD20=0.68
- MLVSS: MLSS = 0.8
- Tỷ số tuần hoàn bùn hoạt tính:
- Xác định BOD5 của nước thải đầu vào và đầu ra của bể aerotank :
Ta có BOD5vào = 272,31 mg/l
Chọn hiệu quả xử lý BOD của bể Aerotank là 90%
Vậy BOD5ra = 272,31 x (1 – 0.9) = 27,231 mg/l
- Tính BOD5 hoà tan trong nước ở đầu ra
Phương trình cân bằng vật chất:
BODra = BOD5 hoà tan trong nước đầu ra + BOD5 của chất lơ lửng trong nước đầu ra
Trong đó BOD5ra=27,321 mg/l
SSra = 30 mg/l ( giả sử 60% là cặn có thể phân hủy sinh học )
BOD5 chứa trong cặn lơ lửng ở đầu ra: 0.6 x 30 = 18mg/l.
Vậy lượng oxy cần thiết là: 18 mg/l)x 1,42 mgOxy/ mg tế bào = 25 mg/l
BOD5 của chất rắn lơ lửng đầu ra là :25*0,68=17 mg/l
Vậy:
BOD5ra= BOD5 hoà tan trong nước đầu ra + BOD5 của chất lơ lửng trong đầu ra

- Tính hiệu quả xử lý
Hiệu quả tính theo BOD5 hòa tan:

Hiệu quả xử lý tính theo tổng cộng:

- Xác định thể tích bể Aerotank
Thể tích bể Aerotank được xác định theo công thức:

Trong đó:
: thời gian lưu bùn đối với nước thải đô thị ,
=5-15 ngày. Chọn =10ngày;
Q : lưu lượng trung bình ngày, Q =500m3/ng.đ;
Y: hệ số sản lượng bùn, Y = 0,4-0,8 mg VSS/mgBOD5. chọn Y = 0,6 mg VSS/mgBOD5;
X: nồng độ chất lơ lửng dễ bay hơi trong hỗn hợp bùn hoạt tính. Đối với nước thải sinh hoạt có thể lấy X=3500 mg/l ;
Kd: Hệ số phân huỷ nội bào. Kd = 0,06 ngày-¹
- Thời gian lưu của bể:

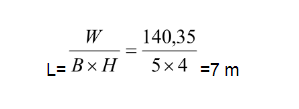
- Xác định kích thước bể Aerotank :
Chọn chiều cao hữu ích h = 3,5m, chiều cao bảo vệ hbv= 0.5m.
Vậy chiều cao tổng cộng của bể là: H = h + hbv = 3,5 + 0.5 = 4(m).
Chọn chiều rộng bể B = 5m
Chiều dài L của bể:

Vậy kích thước của bể Aerotank là L x B x H = 7m x 5m x 4m
- Tính toán lượng bùn dư thải ra mỗi ngày
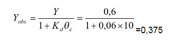
Hệ số sản lượng quan sát (Yobs) là:

Lượng bùn sinh ra mỗi ngày theo VSS là:

Tổng lượng bùn sinh ra mỗi ngày theo SS là:

Lượng cặn dư hằng ngày phải xả đi:
![]()
- Xác định lưu lượng bùn thải
Giả sử bùn dư được xả bỏ (dẫn đến bể nén bùn) từ đường ống dẫn bùn tuần hoàn, Qra=Q và hàm lượng VSS trong bùn ở đầu ra chiếm 80% hàm lượng chất rắn lơ lửng SS.
Khi đó lưu lượng bùn dư thải bỏ được tính toán từ công thức:
Trong đó:
X là nồng độ VSS trong hỗn hợp bùn hoạt tính trong bể Aerotank,X = 3500mg/l;
Xra là nồng độ VSS trong SS ra khỏi bể lắng, Xra=0,8 50 = 40;
Qb là lưu lượng bùn dư cần xử lý (m3/ngày);
Q là lưu lượng nước thải (m3/ngày).
Từ đó tính được:

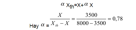
- Xác định tỷ số tuần hoàn bằng cách viết phương trình cân bằng vật chất đối với bể Aerotank theo sơ đồ:
Cân bằng vật chất cho bể Aerotank :

Trong đó:
Q: lưu lượng nước thải ;
Qth : lưu lượng bùn hoạt tính tuần hoàn;
X0: nồng độ VSS trong nước thải dẫn vào Aerotank , mg/l ;
X: nồng độ VSS ở bể Aerotank , X=3500 mg/l ;
Xth : nồng độ VSS trong bùn tuần hoàn, Xth=8000 mg/l .
Giá trị X0 thường rất nhỏ so với X và Xth, do đó trong phương trình cân bằng vật chất ở trên có thể bỏ qua đại lượng QX0.
Khi đó phương trình cân bằng vật chất sẽ có dạng:
![]()
Chia 2 vế của phương trình trên cho Q và đặt tỉ số Qth/Q = (được gọi là tỉ số tuần hoàn), ta được:

Lưu lượng bùn tuần hoàn :

- Xác định lượng khí cấp cho Aerotank :

Khối lượng BODL tiêu thụ trong quá trình sinh học bùn hoạt tính là:

Nhu cầu oxy cho quá trình là:
![]()
Tính thể tích không khí theo yêu cầu:
Lượng không khí yêu cầu theo lý thuyết (Giả sử rằng không khí có 23.2% trọng lượng Oxy và trọng lượng riêng của không khí ở 200C là 0,0118kN/m3= 1,18 kg/m3) là:

Giả sử hiệu quả vận chuyển oxy của thiết bị thổi khí là 8%, hệ số an toàn khi sử dụng trong thiết kế là 2 .
Lượng không khí yêu cầu đối với hiệu quả vận chuyển 8% sẽ bằng:
449,38/0,08 = 5617,25 m3/ngày = 4 m3/ phút
Kiểm tra lượng không khí cần thiết cho xáo trộn hoàn toàn là:

Trị số này nằm trong khoảng cho phép :
![]()
Lượng không khí thiết kế để chọn máy nén khí là:
![]()
- Tính toán máy nén khí
Áp lực cần thiết cho hệ thống khí nén xác định theo công thức:

Trong đó:
hd: tổn thất áp lực do ma sát dọc theo chiều dài ống dẫn(m);
hc: tổn thất cục bộ(m);
hf: tổn thất qua thiết bị phân phối(m);
H: chiều sâu hữu ích của bể, H=3,5mg/l.
Tổng tổn thất hd+hc thường không vượt quá 0,4m; tổn thất hf không quá 0,5m.
Vậy áp lực cần thiết sẽ là:
![]()
Áp lực không khí sẽ là:

Công suất máy nén khí tính theo công thức:
Trong đó:
q : Lưu lượng không khí, q = 0,13 m3/s
: Hiệu suất máy nén khí;
= 0,7 0,9. chọn
= 0,8
- Chọn thiết bị khuếch tán khí
Chọn thiết bị khuếch tán khí dạng đĩa xốp , đường kính 170 mm , diện tích bề mặt F=0,0227 m2, cường độ thổi khí 200 l/phút.đĩa = 12 m3/giờ.đĩa.
Các đĩa phân phối khí này sẽ được đặt sát đáy bể.
Số đĩa cần phân phối trong bể

40 đĩa thổi khí này sẽ được bố trí đều theo chiều dài bể, đặt theo chiều rộng 4 đĩa và chiều dài 10 đĩa.
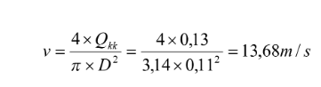
- Tính toán đường ống dẫn khí
Đường kính ống phân phối chính:

Chọn D=110mm.
Trong đó:
:Vận tốc khí trong ống dẫn khí chính.Chọn
=15m/s
Qkk: Lưu lượng khí cần cung cấp , Qkk=0,13m3/s.
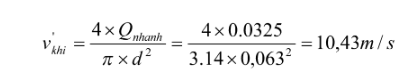
Từ ống chính ta phân vào 4 ống phụ phân phối khí vào bể, trên mỗi ống phụ đặt 10 đĩa phân phối khí.
Lượng khí qua mỗi ống nhánh là:

Đường kính ống dẫn khí nhánh :
Chọn ống có đường kính d=63mm.
Trong đó:
:Vận tốc khí qua mỗi ống nhánh. Chọn
=15m/s
Qnhánh: Lưu lượng khí qua ống nhánh. Qnhánh=1000 l/phút= 0,0325m3/s
Kiểm tra lại vận tốc ống :
Vận tốc ống chính:

→
=13,68m/s thuộc khoảng cho phép 10÷15m/s
Vận tốc ống nhánh:

→
=10,43m/s thuộc khoảng cho phép 10÷15m/s.
Kiểm tra tỉ số F/M và tải trọng hữu cơ:
Trong đó:

=272,31 mg/l
X: Hàm lượng SS trong bể, X = 3500
θ: Thời gian lưu nước, θ= 0,28 ngày
Giá trị này nằm trong khoảng cho phép của thông số thiết kế bể (0,2-0,6
)
Tải trọng thể tích
Giá trị này trong khoảng thông số cho phép khi thiết kế bể (0,8 -1,92 kgBOD5/m3. ngày).
- Tính toán đường ống dẫn bùn tuần hoàn
Đường kính ống dẫn bùn tuần hoàn:

Trong đó:
: vận tốc bùn trong ống.
=0,5m/s
Qth: lưu lượng bùn tuần hoàn. Qth=16,25m3/h
→ chọn D’=110mm.
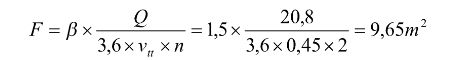
5.7 Bể lắng 2
Nhiệm vụ: Bể lắng đợt hai có nhiệm vụ chắn giữ các bông bùn hoạt tính đã qua xử lý ở bể Aerotank và các thành phần tính chất không hoà tan. Hỗn hợp nước –bùn hoạt tính từ bể Aerotank được đưa liên tục sang bể lắng đứng để loại bỏ bùn hoạt tính trước khi dẫn đến công trình xử lý tiếp theo. Nước thải đươc dẫn vào ống trung tâm. Ống trung tâm ở thiết bị lắng đứng được thiết kế sao cho nước khi ra khỏi ống trung tâm có vận tốc nước đi lên trong thiết bị chậm nhất (trạng thái tĩnh),khi đó các bông cặn hình thành có tỉ trọng đủ lớn để thắng được vận tốc của dòng nước thải đi lên sẽ lắng xuống đáy của thiết bị lắng. Nước thải ra khỏi thiết bị có nồng độ COD giảm 70 – 80%.
+ Lưu lượng từ bể Aerotank vào bể lắng đứng: Q = 20,83m3/h
+ Chọn thời gian lắng tức thời gian lưu nước : 1,5h
+ Diện tích tiết diện ngang vùng lắng:

Trong đó:
: tốc độ tính toán của dòng nước đi lên (mm/s);
Với SS = 40mg/l. Chọn U0 = 0,45 => vtt = 0,45mm/s
β:hệ số kể đến việc sử dụng dung tích bể bằng 1,3 khi D/H = 1;bằng 1,5 khi D/H = 1,5;
n: số đơn nguyên ( chọn 2 đơn nguyên).
+ Diện tích tiết diện ống trung tâm :

Trong đó:
t :Thời gian lưu nước trong ống chọn t = 15 phút (qui phạm t = 15- 20 phút)
H : Chiều cao ống trung tâm ,H = 0,9*Hl với H1 : Chiều cao vùng lắng
Chọn Hl = 3,5m (qui phạm 2,6 – 5 m)

+ Đường kính bể lắng :
Chọn D = 3,7m
Kiểm tra tỉ số D/H:

+ Đường kính ống trung tâm :d = 20%D = 0,2*3,7 = 0,74 m chọn d = 0,8m (theo Tính toán công trình xử lý nước thải –Lâm Minh Triết)
+ Đường kính ống loe: D’ = 1,35*d = 1,35*0,8= 1,08 m
+ Đường kính tấm chắn dòng :D” = 1,3*D’ =1,3*1,08 = 1,4m
Khoảng cách giữa ống loe và tấm chắn dòng:chọn bằng 0,3 m (quy phạm 0,25 – 0,5 m)
Tấm chắn dòng có dạng hình nón và có góc nghiêng với phương ngang 17°.
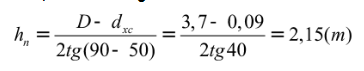
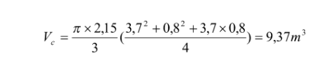
+ Thể tích vùng chứa cặn :
(trang 85 – XLNC Nguyễn Ngọc Dung )
Trong đó:
+ hn :Chiều cao phần hình nón chứa nén cặn (m)
Xác định theo công thức :

α: Góc nghiêng của phần hình nón so với phần mặt phẳng nằm ngang chọn =500 (quy phạm 45- 550)
D :Đường kính bể lắng
d : Đường kính phần đáy hình nón hoặc chóp lấy bằng đường kính ống xả cặn ,chọn dxc = 90mm
Do đó:

+ Chiều cao tổng cộng bể lắng :H = Hd + hn + hbv =3,5 + 2,15+ 0,3 =5,95(m) Chọn H = 6m (thoả điều kiện)
Sau Aerotank chiều cao bể H=3,7 6,1.
Với :hbv chiều cao bảo vệ = 0,3 m(quy phạm 0,3 -0,5)
+ Thời gian lắng :

Với V = F * Hl + Vc =9,65*3,5 + 9,73 = 43,5(m3)
+ Vận tốc đi lên của dòng nước trong bể :

+ Đường kính máng thu nước :Dm = 0,8*D = 0,8*3,7 = 2,96 (m) chọn 3m
+ Chiều rộng máng thu nước :

+ Chiều dài máng thu nước :![]()
+ Tải trọng thu nước trên 1m dài của máng :

Giá trị này nằm trong khoảng cho phép : < 500 m3/m.ngđ
Chọn máng có : Chiều cao :0,2m
Chiều rộng :0,2m
Đặt máng cách miệng lắng :0,3m
+ Vậy thiết bị lắng đứng có kích thước mỗi bể:
![]()
Giả sử bùn sinh học có hàm lượng chất rắn , TSm=5%, VSm=70% và khối lượng riêng bùn Sm=1,0091.
Dung tích bùn cần xử lý mỗi ngày:

5.8 Bể khử trùng
Nhiệm vụ: Sau các giai đoạn xử lý: cơ học, sinh học… song song với việc làm giảm nồng độ các chất ô nhiễm đạt tiêu chuẩn quy định thì số lượng vi trùng cũng giảm đáng kể 90 – 95% . Tuy nhiên lượng vi trùng vẫn còn khá cao vì vậy cần thực hiện giai đoạn khử trùng nước thải. Khử trùng nước thải có thể sử dụng các biện pháp như clo hoá, ôzon khử trùng bằng tia hồng ngoại, UV…ở đây chọn phương pháp khử trùng bằng clo vì phương pháp này tương đối đơn giản, rẻ tiền và hiệu quả khá cao..
Khử trùng bằng dung dịch Clorin 5%. Bể tiếp xúc được thiết kế với dòng chảy ziczắc qua từng ngăn để tạo điều kiện thuận lợi cho quá trình tiếp xúc giữa clo và nước thải.
Tính toán bể tiếp xúc với thời gian lưu nước trong bể 15 phút.
Nguồn: “Xử lý nước thải đô thị và công nghiệp” – Lâm Minh Triết-Nguyễn Thanh Hùng – Nguyễn Phước Dân”.
+ Lượng clo hoạt tính cần thiết để khử trùng nước thải được tính theo công thức:

Với a: liều lượng hoạt tính lấy theo Điều 6.20.3 – TCXD – 51 – 84: Đối với nước thải sau xử lý sinh học hoàn toàn : a = 3g/m3
Chọn thời gian tiếp xúc : t = 30 phút
+ Thể tích bể :
W = Q * t = 20,83 * 0,5 = 10,42 m3
Chiều sâu lớp nước trong bể được chọn H = 1 m
+ Diện tích bề mặt của bể tiếp xúc:

Với chiều cao của bể là: H = 1+0,3 = 1,3m
Với h = 0,3 là chiều cao bảo vệ.
+ Chiều rộng bể chọn B = 1 m
+ Chiều dài tổng cộng:
+ Chọn bể tiếp xúc gồm 5 ngăn, kích thước mỗi ngăn :
![]()
+ Tổng diện tích 5 ngăn sẽ là: 2,2 x 5 = 11m2 >10,42 m2
+ Vậy kích thước mỗi ngăn của bể: L xBx H = 2,2mx1mx1,3m
5.9 Bể nén bùn
Nhiệm vụ: Tách bớt nước do một phần bùn hoạt tính từ bể lắng 2 đưa vào, làm giảm sơ bộ độ ẩm của bùn, tạo điều kiện thuận lợi cho các quá trình xử lý bùn ở phần tiếp theo.
Chọn loại bể nén bùn đứng bằng trọng lực, bùn từ bể lắng đợt 2, từ bể lắng 1, bể UASB được đưa đến bể nén bùn nhằm làm giảm độ ẩm xuống còn khoảng 94 – 96%.
+ Thể tích bùn hoạt tính sinh ra trong ngăn lắng :

Trong đó:
b : Lượng bùn hoạt tính dư, lấy theo Nguồn: “Xử lý nước thải đô thị và công nghiệp” – Lâm Minh Triết-Nguyễn Thanh Hùng – Nguyễn Phước Dân”
BOD5 = 30 mg/l có b = 250 g/m3
P : độ ẩm của bùn hoạt tính dư, P = 99,4%
+ Lượng bùn dư đưa đến bể nén bùn:

+ Diện tích hữu ích bề mặt yêu cầu :
.
Trong đó:
qbd: lưu lượng bùn hoạt tính dư dẫn vào bể nén bùn,qbd = 0,44 m3/h
vl : tốc độ chảy của chất lỏng ở vùng lắng trong bể nén bùn kiểu lắng đứng, lấy theo điều 6.10.3 – TCXD-51-84: vl = 0,1 mm/s
+ Diện tích ống trung tâm của bể nén bùn đứng:

Trong đó:
v2 = tốc độ chuyển động của bùn trong ống trung tâm, v2 = 28-30 mm/s, chọn v2 = 28mm/s
+ Diện tích tổng cộng của bể nén bùn đứng:
F = F1 + F2 = 1,22 + 0,0044= 1,2244m2
+ Đường kính của bể nén bùn:

+ Đường kính ống trung tâm:

+ Đường kính phần loe của ống trung tâm:
d1 = 1,35 * d = 1,35 * 0,075 = 0,1m
+ Đường kính tấm chắn:
dch = 1,3*d1 = 1,3*0,1 = 0,13m
+ Chiều cao phần lắng của bể nén bùn đứng:
h1 = vl* t * 3600 = 0,0001 * 10 * 3600 = 3,6 m
Trong đó:
t : thời gian lắng bùn lấy theo Bảng 3.13(“Xử lý nước thải đô thị và công nghiệp” – Lâm Minh Triết-Nguyễn Thanh Hùng – Nguyễn Phước Dân”).
t = 10h
Chiều cao phần hình nón với góc nghiêng 45°, đường kính bể D = 1,3 m và đường kính của đỉnh đáy bể 1m:

+ Chiều cao tổng cộng của bể nén bùn:
HT = h1 + h2 + h3 = 3,6 + 0,15 + 0,4 = 4,15 m
Trong đó:
h3 = khoảng cách từ mực nước trong bể nén bùn đến thành bể,
h3 = 0,4 m
+ Kích thước của bể nén bùn (đường kính và chiều cao): D x H = 1.25 x 4.15m.
Nước tách ra trong quá trình nén bùn sẽ được dẫn trở lại bể điều hoà để tiếp tục xử lý.
Chương 6
TÍNH TOÁN KINH TẾ CÁC CÔNG TRÌNH ĐƠN VỊ
Phần xây dựng cơ bản
| STT | Hạng mục – quy cách | Số lượng | Đơn giá | Đơn vị | Thành tiền (đồng) | |||
| 1 | Song chắn rác | 1 | cái | 1,000,000 | ||||
| 2 | Bể lắng cát (V = 0,5 m3) | 2 | 1,800,000 | Bể | 900,000 | |||
| 3 | Bể điều hòa (V = 125 m3) | 1 | 1,800,000 | Bể | 225,000,000 | |||
| 4 | Bể lắng 1 hai vỏ (V= 31,2 m3) | 1 | 1,800,000 | Bể | 56,160,000 | |||
| 5 | Bể Aerotank (V = 140,35 m3) | 1 | 1,800,000 | Bể | 252,630,000 | |||
| 6 | Bể UASB (V = 148 m3) | 1 | 1,800,000 | Bể | 266,400,000 | |||
| 7 | Bể lắng 2 (V=31,2 m3) | 1 | 1,800,000 | Bể | 56,160,000 | |||
| 8 | Bể nén bùn (V=105m3) | 1 | 1,800,000 | Bể | 189,000,000 | |||
| 9 | Bể khử trùng(V=10,42m3) | 1 | 1,800,000 | Bể | 18,756,000 | |||
| Tổng (S1) | 1,066,066,000 | |||||||
Phần máy móc – thiết bị
| STT | Tên thiết bị | Số lượng | Đơn vị | Thành tiền (đồng) |
| 1 | Hệ thống thanh gạt bùn ở bể lắng II và bể nén bùn | 2 | Bộ | 10,000,000 |
| 2 | Máng răng cưa thu nước | 4 | Cái | 6,000,000 |
| 3 | Máy thổi khí | 1 | Cái | 75,000,000 |
| 4 | Đĩa thổi khí Airplex | 40 | cái | 19,200,000 |
| 5 | Bơm hút bùn | 3 | Bộ | 29,100,000 |
| 6 | Bơm định lượng khử trùng | 1 | Bộ | 11,500,000 |
| 7 | Tủ điện điều khiển tự động bằng lập trình PLC | 1 | Bộ | 65,000,000 |
| 8 | Hệ thống đường ống ,van, co | 1 | Bộ | 15,000,000 |
| 9 | Chi phí khác gồm:
|
135,000,000 | ||
| Tổng (S2) | 380,300,000 | |||
Chi phí điện năng:
Chi phí điện năng tính cho 01 ngày.
Đơn giá điện: 1300 đ/KW
| STT | Thiết bị | Số lượng hoạt động | Công suất | Số giờ
hoạt động |
Tổng điện năng (KWh/ngày) |
| 1 | Máy nén khí | 1 | 6KW | 24 | 144 |
| 2 | Bơm nước | 2 | 1,75KW | 24 | 42 |
| 3 | Bơm bùn | 3 | 0,4KW | 1 | 1,2 |
| 4 | Bơm định lượng khử trùng | 1 | 0,2KW | 24 | 4,8 |
| Tổng(S3) | 192 | ||||
Vậy tổng chi phí điện năng một ngày là: 192 x 1300 = 249,600 (đồng/ngày).
Chi phí hóa chất:
| Hoá chất | Khối lượng
kg/ngày |
Đơn giá | Thành tiền(VNĐ) |
| Chlorine | 1,5 | 50,000 | 75,000 |
Chi phí nhân công:
Lương công nhân: 2 người x 2,000.000(đồng/tháng) = 4,000,000 (đồng/tháng).
Lương cán bộ: 1 người = 3,000,000 (đồng/tháng).
Tổng lương nhân công là: 4,000,000 + 3,000,000 = 7,000,000 (đồng/tháng).
Tổng chi phí quản lý và vận hành trong 1 năm:
Sa= 249,600 x 30 x 12 tháng + 75,000 x 30 x 12 tháng = 116,856,000 (đồng/năm).
Tổng chi phí đầu tư: Sb = 1,066,066,000+ 380,300,000= 1,446,366,000(đồng/năm).
Chi phí xây dựng được khấu hao trong 10 năm.Vậy chi phí khấu hao trong 1 năm là: 1,446,366,000/10 = 144,636,600 đồng/năm
Giá thành 1m3 nước thải là:(144,636,000 +116,856,000 )/500*300=1,750( đồng).
Nguồn: http://westerntechvn.com.vn/nghien-cuu-cong-nghe-xu-ly-nuoc-thai-benh-vien.htm

